本文主要研究了不同助磨劑對水泥顆粒特性的影響。選用的助磨劑種類有:乙二醇、三乙醇胺、以及乙二醇和三乙醇胺復合助磨劑。實驗結果表明:加入一定量的助磨劑,有利于提高水泥中30μm以下顆粒的量,有利于充分發揮水泥強度,尤其是加入復合助磨劑效果更顯著。
關鍵詞:乙二醇,三乙醇胺,復合助磨劑,30μm篩下量
眾所周知,水泥工業是一個高能耗、高污染、高排放的行業,被國家列為必須用低碳經濟治理的重點。水泥行業要實現宏大的節能降耗戰略,其關鍵或許要取決于很多細微之處。助磨劑是為水泥工業服務的一個新興輔助行業,其簡單、高效的特點已被越來越多的水泥生產企業所認可。
本實驗研究幾種助磨劑對水泥粒徑的影響,并分析其與水泥的適應性,并研究出幾種復合助磨劑。
1.1 實驗方案
本實驗采用乙二醇、三乙醇胺兩種助磨劑為研究對象,比較它們對水泥粒徑大小的影響,并研究其不同的加入量及乙二醇和三乙醇胺混合后對粉磨過程的影響。
1.2 實驗原料
水泥熟料:水泥廠生產的硅酸鹽水泥熟料。
乙二醇:液體,分子量62.07,比重1.111g/cm3,在水中溶解度無窮大。
三乙醇胺:液體,分子量149.19,比重1.123 g/cm3,呈堿性,耐高溫。
1.3 實驗設備
粒度分析儀:NSKC-1型粒度分析儀,配套超聲波發生器進行震蕩。
變頻行星磨:XQM-L型,南京科析實驗儀器研究所。設置行星磨的轉速為300r/min,研磨時間為30min。球磨機內鋼球的配比為:大球(φ15mm,6個),中球(φ10mm,16個),研磨體共重297.53g,料球比為0.336。
1.4 實驗方法
(1)稱量5份100g水泥熟料,分別加入0.1g、0.2g、0.3g、0.4g和0.5g乙二醇,放入XQM系列變頻行星磨粉磨,粉磨后取樣,在超聲波發生器中震蕩后做粒度分析,得出實驗數據。
(2)以同樣方法測出加入三乙醇胺后水泥熟料研磨后的粒度分布。三乙醇胺的加入量為乙二醇的兩倍。
(3)將乙二醇和三乙醇胺混合后,設計該兩種助磨劑配比為1:1,其混合后的總量參數仍為0.1g、0.2g、0.3g、0.4g和0.5g,實驗步驟不變,測出加入混合助磨劑后水泥熟料的粒度分布。
前人研究表明,小于3μm的水泥顆粒加水后迅速水化,除了對水泥初期的強度有一定幫助外,對以后水泥強度的發展沒有任何影響,60μm以上的顆粒幾乎不水化,3--30μm的顆粒往往是水泥強度的最大貢獻者。因此,為研究助磨劑對水泥性能的影響,將研磨后水泥中小于30μm的顆粒含量作比較,并進行理論分析。
2.1 乙二醇影響
將研磨后的粉體做粒度分析,得出不同乙二醇加入量的30μm篩下量。如表1所示。
表1 不同乙二醇加入量與產品中30μm篩下的關系

根據助磨劑作用機理,由于乙二醇的加入,物料的表面能降低,消除靜電效應,加快磨內物料的移動速度。因此,隨著乙二醇的加入,粉磨效率得到提高,在加入量為0.3%時30μm篩下達到最大。但當乙二醇的進一步加入時,其乙二醇作用不再增大,反而會降低物料的流動性,所以30μm篩下變小。

圖1 乙二醇加入量對30μm篩下量的影響
從圖1中可以看出,5種不同乙二醇的加入量,水泥30μm篩下均在90%以上,乙二醇的助磨作用顯著。30μm篩下在乙二醇的加入量為0.3%時最大,達到100%。因此,乙二醇的加入量不是越多越好,應該參考實際情況加入。

圖2 不同乙二醇加入量水泥0--80μm的粒度分布
從圖2可以看出粉體的顆粒主要分布在3~30μm之間,顆粒分布比較均勻,因此,乙二醇對水泥的強度也有提高。相比較而言,0.2%乙二醇加入量的顆粒在3μm以下的更少,因此,0.2%乙二醇加入量的水泥的性能應該較其它的好些。
2.2 三乙醇胺的影響
將粉磨后的粉體做粒度分析,得出不同三乙醇胺加入量的30μm篩下,如表2。
表2 不同三乙醇胺加入量和產品中30μm篩下量的關系

同乙二醇一樣,根據助磨劑作用機理,由于三乙醇胺的加入,物料的表面能降低,消除靜電效應,加快磨內物料的移動速度。因此,隨著三乙醇胺的加入,粉磨效率得到提高,在加入量為0.4%時30μm篩下達到最大。但當三乙醇胺的進一步加入時,其助磨劑作用不再增大,反而會降低物料的流動性,所以30μm篩下變小。

圖3 三乙醇胺加入量對30μm篩下的影響
從圖3可以看出5種不同三乙醇胺的加入量做出的30μm篩下也在90%以上,三乙醇胺的助磨作用顯著。30μm篩下在三乙醇胺的加入量為0.4%時最大,達到100%。同樣,三乙醇胺的加入量應該并不是越多越好,應該參考實際情況加入。

圖4 不同三乙醇胺加入量水泥0--80μm的粒度分布
從圖4可以看出粉體的顆粒比較理想,大多分布在3~30μm之間,顆粒分布比較均勻,因此,三乙醇胺對水泥的強度也有提高。其中0.1%、0.2%三乙醇胺加入量的顆粒在3~30μm部分分布更多,因此,0.1%、0.2%三乙醇胺加入量的水泥強度應該較其它的好些。
2.3乙二醇、三乙醇胺復合助磨劑的影響
將研磨后的粉體做粒度分析,得出不同乙二醇和三乙醇胺復合助磨劑加入量的30μm篩下如表3:
表3 不同復合助磨劑加入量和30μm篩下關系

同加入一種助磨劑一樣,由于乙二醇和三乙醇胺的加入,物料的表面能降低,消除靜電效應,加快磨內物料的移動速度。因為乙二醇和三乙醇胺的復合作用,加入量為0.1時30μm篩已經基本達到上限。但當乙二醇和三乙醇胺的進一步加入時,其助磨劑作用不再增大,因此30μm篩下基本不變。(由于助磨劑的加入量都比較偏大,因此實驗數據變化空間不大,因實驗誤差,可以認為30μm篩下基本不變)

圖5 復合助磨劑加入量對30μm篩下的影響
圖5中可以看出5種不同復合助磨劑的加入量做出的30μm篩下都在95%以上,復合助磨劑的助磨作用顯著。在復合助磨劑的加入量為0.1%時30μm篩下在已經達到100%??紤]到實驗誤差,0.1~0.5%的復合助磨劑對水泥的30μm篩下影響相差不大。應當著重對水泥性能的影響做比較。


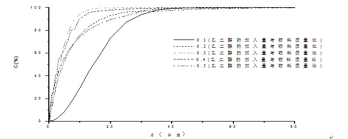
圖6 不同復合助磨劑加入量水泥0--80μm的粒度分布
從圖6可以看出粉體的顆粒非常細,小于3μm的部分達40%,因此,復合助磨劑對水泥的強度影響很大。相對0.3%復合助磨劑加入量的顆粒在3~30μm分布更多,因此,0.3%復合助磨劑加入量的水泥的強度應該較其它的好些。
通過以上分析可以看出,加入助磨劑后水泥的30μm篩下均在90%以上,特別是復合助磨劑(在加入量為0.1%時已達100%),助磨效果顯著。乙二醇的加入量為0.3%時,30μm篩下達到最大;三乙醇胺的加入量為0.4%時,30μm篩下也達到最大。因此,這兩種助磨劑的加入量應參考實際需要,不宜過量。復合助磨劑0.1%--0.5%的加入量對30μm篩下的差異也較小。因此,這兩種助磨劑的加入量應該主要考慮到對水泥性能的影響。
以上助磨劑除了復合助磨劑,3--30μm的分布都較大。因此,對水泥的強度都有提高??偟膩碇v,隨著助磨劑加入量的增大一定量時,粉磨效果基本不變,甚至還會出現粉磨質量下降。因此,助磨劑的加入量應控制在一定范圍。另外,有些助磨劑對水泥的性能有不利影響。所以,選擇助磨劑及助磨劑的加入量時應考慮到不影響水泥的其它性能。
與水泥工業中其他節能減排的途徑相比,應用水泥助磨劑幾乎不需要增加任何固定資產投資,直接摻入后,經濟效益相當可觀。毋庸置疑,借助低碳經濟的春風,水泥助磨劑行業轉型,發展為多功能、低碳水泥助磨劑的日子,已經為期不遠。
[1]陳紹龍,趙洪義,宋南京. 低碳經濟對助磨劑行業發展意義深遠. 中國建材報/2010年/2月/3日/第002版
[2]趙凱,齊金梅,徐高慶等. 水泥助磨劑最佳添加比率確定[J]. 水泥, 2001, (10): 25--27.
[3]高陽,李健生,霍碧莉. 不同助磨劑對水泥粉磨效率的影響[J]. 水泥技術, 2004, (06): 69--71.
[4]黃有豐. 水泥顆粒特性及粉磨工藝進展對水泥性能的影響[J]. 水泥技術,1998,(8) :7~9
[5]黃從運,張明飛,韓顯平等. 新型高效水泥活化助磨劑對水泥性能影響的試驗研究[J]. 四川水泥, 2007, (3): 9--11.
[6]朱孔贊,陳懷成,夏宗艷. 趙洪義國內外水泥助磨劑的發展現狀與趨勢[J]. 中國水泥, 2010, (3): 64--66.
[7]林玉梅,丁少兵,向漢江等. 水泥復合助磨劑的研究[J]. 荊門職業技術學院學報,2003, 18(3):38--41.